Open clusters with Gaia and the Gaia-ESO Survey: a way forward to stellar age calibration
A group of researchers at Arcetri, led by Sofia Randich, the Co-PI of the Gaia-ESO Spectroscopic Survey, have carried out the first study making use of the data products of the Survey together with the dataset from the first release (DR1) of the Gaia mission. The Gaia-ESO project is a large public spectroscopic survey, to which 340 nights on the ESO VLT have been allocated. It is the largest stellar survey performed on an 8-m class telescope. The Survey, which is close to completion, is observing more than 100,000 stars, systematically covering all the major components of the Milky Way, from halo to star-forming regions, providing the first homogeneous overview of the distributions of kinematics and elemental abundances. This alone is revolutionising knowledge of Galactic and stellar evolution: when combined with Gaia astrometry, the Survey is going to quantify the formation history and evolution of young, mature and ancient Galactic populations.
One of the top level goals of the Gaia-ESO Survey is the use of star clusters to calibrate stellar ages, which in turn is vital in addressing many of the most important topics in modern astrophysics. Star clusters indeed represent key age calibrators for stars in all evolutionary phases. Members of a given cluster cover different masses and evolutionary stages, at the cluster age and metallicity. Each cluster thus represents a snapshot of stellar evolution; linking together observations of many clusters at different ages and chemical compositions empirically reveals the story of stellar evolution, to be compared with the predictions of theoretical models.
Randich and collaborators exploited the Gaia-DR1 TGAS catalogue and the Gaia-ESO Survey data of targets in the fields of eight open star clusters, to infer the cluster parallaxes and distances to the Sun, and to derive clean sequences of cluster members. These were compared with different sets of stellar evolutionary models using a statistical approach (see Figure 1) and allowing the determination of the ages of the clusters. The systematic parallax errors inherent in the Gaia DR1 data still limited the precision of the results; nevertheless, the eight clusters were put onto the same age scale for the first time. Also, the approach used in this pilot study appeared extremely promising, demonstrating the potential of combining Gaia and ground-based spectroscopic datasets.
![]() |
![]() |
![]() |
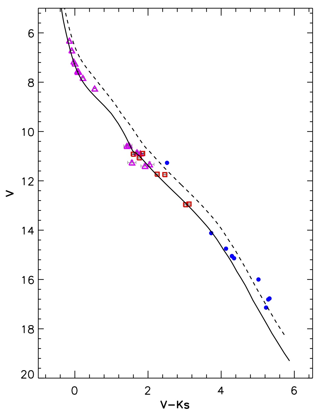
Figure 1: Comparison between isochrones and observational data in the (J-Ks,H), (V-Ks,V), and (log Teff, Ks) diagrams for the cluster IC 2602 (30 Myr). Members from the Gaia-ESO Survey are indicated as blue full circles and red squares, while Gaia-TGAS members are plotted as magenta open triangles. Photometric data are taken from the 2MASS catalogue, AAVSO Photometric All Sky Survey (APASS) DR9, and ASCC-2.5, 3rd version compilation. An unresolved binary sequence is shown as a dashed line. The Figure shows a good, global agreement between theory - isochrones with the most probable ages and reddening values - and observations. Noticeably, this is true for the different selected colour-magnitude diagrams (for the entire sequences) and even in the Ks versus Teff diagrams. Source: Randich et al (2017).
The study has involved many researchers from the Arcetri Astrophysical Observatory (Randich, Pancino, Sacco, Magrini, Franciosini, Morbidelli, Roccatagliata, Bravi) and has been carried out in collaboration with people at the University of Pisa and with researchers in different INAF institutes. The results of this study are published in the article "The Gaia-ESO Suvery: open clusters in Gaia-DR1 - a way forward to stellar age calibration" led by Sofia Randich.
Edited by Sofia Randich and Anna Gallazzi




